Skip to content
Msomi Maktaba
Msomi Maktaba
  • Home
  • Notes za civics
  • Notes za English
  • Notes za Mathematics
  • Notes Za Chemistry
  • Notes za Physics
  • Notes za History
  • Notes za Geography
  • Notes za Computer
  • Notes za Biology
  • About Us
  • Privacy Policy
  • Contact us
Msomi Maktaba
Mathematics Notes

Form 2 Mathematics – EXPONENT AND RADICALS

msomimaktaba, November 13, 2018August 17, 2024

EXPONENT AND RADICALS

 

EXPONENTS:

– Is the repeated product of real number by itself

e.g. i) 2 x 2 x 2 x 2 = 24

ii) 6 x 6 x 6 x 6 x 6 = 65

iii) a x a x a x a x a = a5

LAWS OF EXPONENTS

MULTIPLICATION RULE

Suppose;

4 x 4 x 4 = 43

Then, 43 = power

4 = base

3 = exponent

Suppose, 32 x 34 = 3(2+4) = 36

32 x 34 = 3 x 3 x 3 x 3 x 3 x 3 = 36


 

Example 1
Simplify the following

i) 64 x 68 x 66 x 61

ii) y4 x y0 x y3

Solution:

i) 64 x 68 x 66 x 61 = 6 4+8+6+1

= 619

ii) y4 x y0 x y3

Solution:

Y4 x y0 x y3 = y4+0+3

= y7

Example 2
Simplify the following

i) 32 x 54 x 33 x 52

ii) a3 x b3 x b4 x a5 x b2

Solution:

i) 32 x 54 x 33 x 52 = 32+3 x 54+2

= 35 x 56

ii) a3 x b3 x b4 x a5 x b2 = a3+5 x b3

= a8 x b9

Example 3

If 2Y x 16 x 8Y = 256, find y

Solution:

2y x 24 x 8y = 256

2y x 24 x 8y = 28

2y x 24 x (23)y = 28

y + 4 + 3y = 8

y + 3y = 8 – 4

4y = 4

Y = 1

Exercise 1:

1. Simplify

i) 34 x 43 x 38 x 34 x 42 = 34+8+4 x 43+2 = 316 x 45

ii) a2 x a3 x a4 x b2 x b3 = a2+3+4 x b2+3 = a9 x b5

2. If 125m x 252 = 510 find m

Solution:

125m x 252 = 510

53m x 54 = 510

3m + 4 = 10

3m = 10 – 4

3m=6

m = 2

3. If x7 = 2187. Find x

Solution:

X7 = 2187

X7 = 37

X = 3

QUOTIENT LAW

= = 3 X 3

= 32

Also = 34-2 = 32

Generally:


Example 1.

Find i) = 87-5

= 82

ii) = 52n-n

= 5n

Example 2.

If = 81 find n

Solution:

= 81

() = 34

33n – 4 = 34

Equate the exponents

3n – 4 = 4

n=

NEGATIVE EXPONENTS

Suppose = 32 – 4 = 3-2

Also =

=

and Inversely xn =

Example

Find

( i) 2-3 = =

(ii) 9-1/2 =

(iii) = 33 = 27

EXERCISE 2

1. Given 23n x 16 x 8n = 4096 find n

2. Given = 56 find y

3. If 32n+1 – 5 = 76 find n

4. Given 2y = 0.0625.Find y


6. Find the value of x

(i). 81-1/2 = x

ii) 2-x = 8

ZERO EXPONENTS

Suppose,

= = 1


30 = 1

Example

Show that 90 = 1

Consider = = = 1

Also = 92-2 = 90

90 = 1 hence shown

Also

(i) m =

(ii) (x y)m = xm ym

Example

(1)Find
i) (5 x 4)2

Solution:

(5 x 4)2 = 52 x 42

5 x 5 x 4 x 4 = 400

ii) ()3

= =

2. Show that 2-1 =

Solution:

2-1 =

=

 

consider LHS

2-1 =

L H S = R H S

Therefore

2-1 = hence shown

FRACTIONAL EXPONENTS AND EXPONENTS OF POWERS

EXPONENTS OF POWERS

Consider (54)3=(5x5x5x5)3
=(5x5x5x5)x(5x5x5x5)x(5x5x5x5)
=5x5x5x5x5x5x5x5x5x5x5x5
=512
Similarly (54)3=54×3


Examples:
1.Simplify (a (x4)5

(b) (86)3

Solution
(a) (x4)5=x4×5
=x20

(b) (86)3= 86x3
=818

2.Write 23x 42 as a power of single number
Solution
23x 42 ,but 4=22

therefore 42=(22)2
42=22×2
=24
23x 24=23+4
∴23x 24=27
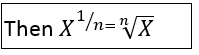
FRACTIONAL EXPONENT

Solution

Consider the exponents of powers when is squared, we get

Let x be positive number and let n be a natural number. Then

Examples:

(1) Find


Thus if x is a negative number, and n is an odd number

Exercise 2.

1. Show that 2-2 =

Solution:

Consider LHS

2-2 = =

2-2 =

LHS = RHS hence shown

2. Evaluate

272/3 x 729 1/3 ÷ 243

Solution:

27 2/3 x 729 1/3 ÷ 243

(33)2/3 x (36)1/3 ÷ 35

32 x 32 ÷ 35

32+2-5

= 3-1 or

3. Find the value of m

(1/9)2m x (1/3)-m ÷ (1/27)2 = (1/3)-3m

 

Solution:

(1/32)2m x 1/3-m ÷ (1/33)2 = 1/3-3m

(1/3)4m x (1/3)-m ÷ (1/3)6 = (1/3)3m

3-4m x 3-m ÷ 3-6 = 3-3m

-4m + -m – 6 = -3m

-5m – 6 = -3m

6 = -2m

m = -3

4. Given 2x x 3y = 5184 find x and y

Solution:

2x = 5184 2x x 3y = 26 x 3y

2x = 26 By comparison

2x = 26 2x = 26

X = 6

3y = 5184 3x = 34

3y = 34

y = 4

The value of x and y is 6 and 4 respectively


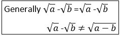
RADICALS

-A number involving roots is called a surd or radical.
-Radical is a symbol used to indicate the square root, cube root or nth root of a number.
-The symbol of a radical is

Example of Radicals
(i)

(ii)

(iii)

PRIME FACTORS

Example 1

Find (i) by prime factorization

Solution:

=
= 2×7

= 14

ii) by prime factorization

solution:

=

= 2 x 3

= 6

iii) by prime factorization

solution:

=

= 2

Example 2

If = 8x find x

Solution:

= = 8x

= (23)1/3 = 23x

= 21 = 23x

x=

 

Exercise 3

1. Find the following

i)

Solution

=

= 2 x 2 x 2 x 2 x 2

= 32

=32

ii)

Solution

=

= 5

2. Simplify

a) Solution

=

= 5

 

b) =

= 3 x 5

= 15

 

3. Find = 16y find y

= = 24y

2 2 = 24y

2 = 4y

y =

4. Find x if

=491/3

Solution

= = 491/3

3431/x = 73/x = (72)1/3

73/x = 7 2/3

=

2x = 9

x =

ii) = 81x

solution

== 81x

= 32 = 34x

= 2 = 4x

x =


OPERATION ON RADICAL

ADDITION

Example1.

Evaluate

i) +3

Solution: + 3=(1 + 3)

=4

ii) +

Solution

=+

(22)1/2 (32)1/2 + (22)1/2 (22)1/2

= (2 x 3) + (2 x 2)

= 6 + 4

= 10

SUBTRACTION

Example

Evaluate

i) 3 – 2

Solution

= 3 n-2

= (3 x 2 x 3 2 x 2 x 2 )

= 18 8

= 10

ii)

Solution

=

=(2 x 3) (2 x 2)

= 6 4

= 2

MULTIPLICATION

Example

Find i) x

solution

x =

=

=

= 2 x 2 x 2 x 3

= 24

ii) 3 x 3

Solution

3 x 3

(5 x 3) x (3 x 3)

= 15 x 9

= 135

 

DIVISION

Example 1

Find i)

Solution: =

=

=

=

EXERCISE 4.

1. Find 2 + 3

Solution: 2 +3

= (2 x 2 x 3)+ (3 x 2 x 2)

= 12 +12

= 24

(ii )3

Solution:

3 = 3 + 3

= 3 + 3

=(3 x 2) +(3 x 2 x 3)

= 6 +12

= 18

(iii) 6 2

Solution:

6 2 6 = 2

= (6 x 2) (2 x 3)

= 12 6

= 6

iv) +

Solution:

+

+3

4

(v) + 2250

Solution:

+ = +2250

= 2 + 2250

=2 + 2250

=2 + 2250

2. Simplify

(i) x

=

=

=

= 24

ii)

()

= (2 x 3 – 4 )

= (6 – 4 )

= (2 )

= 4

(iii) 3 x 2

Solution:

= 3 x 2

= 3 x 2 x 3 x (2 x 2)

= 18 x 4

= 72

(iv) (15 )

Solution:

(15 )= 15

= 15 X 3

= 45

RATIONALIZATION OF THE DENOMINATOR

– Rationalizing the denominator involves the multiplication of the denominator by a suitable radical resulting in a rationaldenominator.
The best choice can follow the following rules:-
(i) If a radical is a single term(that is does not involve + or -),the proper choice is the radical itself,that is

(ii)If the radical involves operations(+ or -),choose a radical with the same format but with one term with the opposite operation.

Examples

The same technique can be used to rationalize the denominator.

Example 1

Rationalize i)

Solution = x

=

(ii)

Solution:

= x

=

=

(iii)

Solution:

= x

=

=

=

=

 

Example 2:

Rationalize (i)

Solution:

= x

=

=

=

=

=

=

(ii) Rationalize

Solution:

= x

=

=

=

=

=

=

=

EXERCISE 5

1. Evaluate

(i) ()()

Solution:
(1) ()() = (() -4()

= – 6 – 12 + 12

 

(ii) ()()

Solution:
(iii) ()() = () + ()

= a + + + b

= a + b + 2

(iv) ()()

Solution:

()() = () + ()

= m + – – n

= m – n

(v) ()()

Solution:

()() = ( – ()

= p – + – q

= p – q

2. Rationalize

(i)

Solution:

= x

=

=

=

=

=

 

(ii)

Solution:

=

=

= – ( )

 

EXERCISE 6

Rationalize the following denominator

(i)

Solution:

=

=

=

=

(ii)

Solution:

=

=

=

=

(iii)

Solution:

=

=

=

=

(iv)

Solution:

=

=

=

SQUARE ROOT OF A NUMBER

Example

Find( i)

Solution


ii)
Solution:

(iii)

Solution:

TRANSPOSITION OF FORMULA

A formula expresses a rule which can be used to calculate one quantity where others are given,when one of the given quantity is expressed in terms of the other quantity the process is called transposition of formula.

Example 1

The following are examples of a formula

a. A =

b. v =

c. I =

d. A = (a +b)h

e. T = 2r

Example 2

The simple interest (I) on the principal (p) for time (T) years. Calculated at the rate of R% per annual is given by formula

I =

Make T the subject of a formula

Solution:

100 x I = x 100

=

=

T =

 

Example 3.

Given that

Y = mx + c, make m the subject

Solution:

Y = mx +c

=

m =

Example 4
Given that p = w
Make a the subject.

Solution:

P = w

Divide by w both sides

=

=

Multiply by (1 – a) both sides

(1 – a) = (1 a)

(1 – a) = 1 + a

– = 1 + a

– 1 = a +

– 1 = a(1 + )

Divide by 1 + both sides

=

a =

Alternatively

Example 5

Given that T = 2 write g in terms of other letters

Solution:

T = 2

Divide by 2both side

=

Remove the radical by squares both sides

2 = 2

=

 

Multiply by g both sides

=g

=

Multiply by 42 both sides

42 x = x 42

T2g = 42

Divide by T2 both sides

∴ g =

Example 6

If A = p +

(i) Make R as the subject formula

(ii) Make P as the subject formula

Solution:

(i) A = p +

= A – P =

Multiply by 100 both sides

= = R

 

R =

 

 

(ii) A = P +

Solution:

Multiply by 100 both sides

100A = 100P + PRT

100A = P(100 + RT)

Divide by 100 + RT both sides

= P

 

P =

Exercise 7

1. If S = at2. Make t the subject of the formula

2. If c = (F – 32) make F the subject of the formula

Solution:

S = at2

Multiply by 2 both sides

s x 2 = at2 x 2

2s = at2

Divide by a both sides

=

t2 =

Square root both sides

=

t =

 

2. C = (F – 32)

C = F –

C + =

Multiply by 9 both sides

9C + =

Divide by 5 both sides

F =

More Examples

1. If A = (a + b)

(i) Make h the subject formula

(ii) Make b the subject formula

2. If = –

(i) Make f the subject formula

(ii) Make u the subject formula

Solution:

1. A =

2A = (a + b)x 2

2A = (a + b)

Divide by a + b both sides

=

h =

(ii) Make b the subject formula.

Solution:

A =

2A = (a + b)x 2

2A = (a + b)

2A = ah + bh

2A ah = bh

Divide by h both sides

= b

b =

2. = –

Solution:

= –

=

Divide by u – v both sides

f =

ii) Make u the subject formula

= –

Solution:

=

Multiply by uv both sides

= f(u – v)

uv = fu – fv

fv = fu – uv

fv =u (f – v)

Divide by f – v both sides

u =

Exercise 8

1. If T =

(i) Make t the subject formula

(ii) Make g the subject

2. If P = w

(i) Make w as the subject formula

(ii) Make a the subject formula

Solution:

1. (i)T =

Square both sides

T2 =

Multiply by 4 both sides

4T2 =

4T2g = 9t

Divide by 9 both sides

t =

 

(ii) Make g the subject formula

T =

Solution:

Square both sides

T2 =

Multiply by 4 both sides

4T2 =

 

4T2g = 9t

Divide by 4T2 both sides

g =

2)( i) Make w was the subject

Make a the subject

Solution:

P = w

P= w()

Divide by () both sides

w =P

ii) Make a the subject formula

Solution:

P = w

 

Divide by w both sides

=

=

Multiply by (1 – a) both sides

(1 – a) = (1 a)

(1 – a) = 1 + a

– = 1 + a

– 1 = a +

– 1 = a(1 + )

Divide by 1 + both sides

=

a =

 

Exercise 9

I. If v = Make R the subject formula

Solution:

v =

Multiply by r + R both sides

v (r + R) = 24R

vr + Rv = 24 R

vr = 24R – Rv

vr = R (24 – v)

Divide by 24 – v both sides

2. If m = n

(i) Make x the subject formula

Solution:

m = n

Multiply by x + y both sides

mx + my = nx – ny

my + ny = nx – mx

my + ny = x(n – m)

divide by n – m both sides

x =

(ii)If T = 2

Make t the subject formula

Solution:

T = 2

Square both sides

T2 = 42

Multiply by a both sides

T2a = 42kt

Divide by 42k both sides

t = 2

ALL NOTES FOR ALL SUBJECTS QUICK LINKS:

AGRICULTURE O LEVEL
PURE MATHEMATICS A LEVEL
BAM NOTES A LEVEL
BASIC MATH O LEVEL
BIOLOGY O/A LEVEL
BOOK KEEPING O LEVEL
CHEMISTRY O/A LEVEL
CIVICS O LEVEL
COMPUTER(ICT) O/A LEVEL
ECONOMICS A LEVEL
ENGLISH O/A LEVEL
COMMERCE O/A LEVEL
ACCOUNTING A LEVEL
GENERAL STUDIES NOTES
GEOGRAPGY O/A LEVEL
HISTORY O/A LEVEL
KISWAHILI O/A LEVEL
PHYSICS O/A LEVEL
MOCK EXAMINATION PAPERS
NECTA PAST PAPERS
Basic Mathematics Study Notes Form 2 Basic Mathematics Study Notes Msomi Maktaba All Notes FORM 2MATHEMATICS

Post navigation

Previous post
Next post

Related Posts

Form 6 Kiswahili Study Notes kiswahili Notes

Kiswahili Form 6 – MATUMIZI YA SARUFI

February 25, 2019February 25, 2019

Contents on this page was removed due to copyright claim. Read More Notes Here ALL NOTES FOR ALL SUBJECTS QUICK LINKS: AGRICULTURE O LEVEL PURE MATHEMATICS A LEVEL BAM NOTES A LEVEL BASIC MATH O LEVEL BIOLOGY O/A LEVEL BOOK KEEPING O LEVEL CHEMISTRY O/A LEVEL CIVICS O LEVEL COMPUTER(ICT)…

Read More

SFUCHAS selected applicants 2021/22 | St. Francis University College of Health and Allied Sciences selected applicants 2021/2022

February 4, 2024

SFUCHAS Selected applicants 2023/2024 pdf: Have you applied for Diploma, certificate or bachelor degree admission at St. Francis University College of Health and Allied Sciences for 2023/2024 academic year and you have been anxiously waiting to see if you have been selected to join SFUCHAS and you don’t know how…

Read More
Form 3 Physics Notes Physics Notes

PHYSICS FORM THREE TOPIC 7: MEASUREMENT OF THERMAL ENERGY

November 6, 2018February 13, 2019

  Heat Capacity Heat capacity is the amount of heat required to raise the temperature of an object or substance by one degree. The temperature change is the difference between the final temperature ( Tf) and the initial temperature ( Ti). The Factors which Determine Heat Quality of a Substance…

Read More

Leave a Reply Cancel reply

Your email address will not be published. Required fields are marked *

  • Agriculture Form 1
  • Agriculture Form 2
  • Agriculture Form 3
  • Agriculture Form 4
  • Agriculture Study Notes
  • Basic Applied Mathematics Study Notes
  • Basic Mathematics Study Notes
  • Biology Study Notes
  • Book Keeping Study Notes
  • Chemistry Study Notes
  • Civics Study Notes
  • Computer Study/ICT Study Notes
  • Economics Study Notes
  • English Language Study Notes
  • English Study Notes
  • Examination TimeTables
  • Form 1 Basic Mathematics Study Notes
  • Form 1 Biology Study Notes
  • Form 1 Book Keeping Study Notes
  • Form 1 Chemistry Study Notes
  • Form 1 Civics Study Notes
  • Form 1 Commerce Study Notes
  • Form 1 Computer Study/ICT Study Notes
  • Form 1 English Study Notes
  • Form 1 Geography Study Notes
  • Form 1 History Study Notes
  • Form 1 Physics Notes
  • Form 2 Basic Mathematics Study Notes
  • Form 2 Biology Study Notes
  • Form 2 Book Keeping Study Notes
  • Form 2 Chemistry Study Notes
  • Form 2 Civics Study Notes
  • Form 2 Commerce Study Notes
  • Form 2 Computer Study/ICT Study Notes
  • Form 2 English Study Notes
  • Form 2 Geography Study Notes
  • Form 2 History Study Notes
  • Form 2 Kiswahili Study Notes
  • Form 2 Physics Notes
  • Form 3 Basic Mathematics Study Notes
  • Form 3 Biology Study Notes
  • Form 3 Book Keeping Study Notes
  • Form 3 Chemistry Study Notes
  • Form 3 Civics Study Notes
  • Form 3 Commerce Study Notes
  • Form 3 Computer Study/ICT Study Notes
  • Form 3 English Study Notes
  • Form 3 Geography Study Notes
  • Form 3 History Study Notes
  • Form 3 Kiswahili Study Notes
  • Form 3 Physics Notes
  • Form 4 Basic Mathematics Study Notes
  • Form 4 Biology Study Notes
  • Form 4 Book Keeping Study Notes
  • Form 4 Chemistry Study Notes
  • Form 4 Civics Study Notes
  • Form 4 Commerce Study Notes
  • Form 4 Computer Study/ICT Study Notes
  • Form 4 English Study Notes
  • Form 4 Geography Study Notes
  • Form 4 History Study Notes
  • Form 4 Kiswahili Study Notes
  • Form 4 Physics Notes
  • Form 5 Accounting Study Notes
  • Form 5 Advanced Mathematics Study Notes
  • Form 5 Basic Applied Mathematics Study Notes
  • Form 5 Chemistry Study Notes
  • Form 5 Commerce Study Notes
  • Form 5 Economics Study Notes
  • Form 5 English Language Notes
  • Form 5 General Studies (GS) Study Notes
  • Form 5 Geography Study Notes
  • Form 5 History 1 Study Notes
  • Form 5 Physics Notes
  • Form 6 Accounting Study Notes
  • Form 6 Advanced Mathematics Study Notes
  • Form 6 Basic Applied Mathematics Study Notes
  • Form 6 Biology Study Notes
  • Form 6 Chemistry Study Notes
  • Form 6 Commerce Study Notes
  • Form 6 Economics Study Notes
  • Form 6 English Language Notes
  • Form 6 Geography Study Notes
  • Form 6 History 2 Study Notes
  • Form 6 Kiswahili Study Notes
  • Form 6 Physics Notes
  • Form four Mock Examination
  • Form Four Past Papers
  • Form Six Past Papers
  • Form Two Past Papers
  • General Studies (GS) Study Notes
  • Geography Study Notes
  • History Study Notes
  • Kiswahili Study Notes
  • link za magroup ya whatsapp
  • Mock Examination
  • Msomi Maktaba All Notes
  • NECTA Past Papers
  • Physics Study Notes
  • QT Past Papers
  • Standard Seven Past Papers
©2025 Msomi Maktaba | WordPress Theme by SuperbThemes