Skip to content
Msomi Maktaba
Msomi Maktaba
  • Home
  • Notes za civics
  • Notes za English
  • Notes za Mathematics
  • Notes Za Chemistry
  • Notes za Physics
  • Notes za History
  • Notes za Geography
  • Notes za Computer
  • Notes za Biology
  • About Us
  • Privacy Policy
  • Contact us
Msomi Maktaba
Mathematics Notes

Form 2 Mathematics – SIMILARITY AND ENLARGEMENT

msomimaktaba, November 13, 2018August 17, 2024

SIMILARITY AND ENLARGEMENT

Similar figures:
Two polygons are said to be similar if they have the same shape but not necessarily the same size.

When two figures are similar to each other the corresponding angles are equal and the ratios of corresponding sides are equal.

SIMILARTRIANGLE
Triangle are similar when their corresponding angles are equal or corresponding sides proportional consider the figure below :

 

Since corresponding angles are equal then the two triangles are similar

Also:

Since the ratio of corresponding sides are equal then the two triangles are similar

Note
() is a sign of similarity, from above ABC PQR

Examples

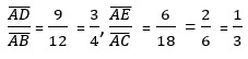
1. Given that SLKNFR, identify all the corresponding angles and corresponding sides

Solution:

Corresponding sides;

3. One rectangle has length 10cm and width 5cm. The second rectangle has length 12cm and width 4cm. Are the two rectangles similar? Explain

Solution:


Therefore; the two rectangles are not similar because the ratio of corresponding sides are not proportional

4. A rectangle has length 16cm and width 23cm, A second rectangle has length 12cm and width 9cm. Are the two rectangles similar? Explain

 

Solution:

Therefore;The rectangles are not similar because the ratio of corresponding sides are not proportional

Conditions for two triangles to be similar;

1. Corresponding angles are equal or corresponding sides proportional
For other polygons

– Corresponding angles equal and corresponding sides proportional

QUESTIONS:

a) Given that PQR LMN and that PQRABC identify the corresponding angles and sides between ABC and LMN.

solution

Exercise

Solution:

 

a) ABC = 70O ,MNL = 400 ,ACB =?


a) Name the triangles which are similar

b) Identify the corresponds angles

Solution:

The triangles ABT and KLS are similar

8. Name the triangles which are similar to ADC


 

10. Which of the following figures are always similar?

a) circles d) Rhombuses

b) Hexagons e) Rectangles

c) squares f) Congruent polygons

Solution:

The figures which are always similar

a) circles

b) squares

Exercise 1


M < AEF = 420

M < AFE =?

900 – 420 = 480

M < AFE = 480

 

INTERCEPT THEOREM

A line drawn parallel to one side of a triangle divides the other two sides in the same ratio


 

 

AAA – Similarity theorem

If a correspondence between two triangles is such that two pairs of corresponding angles are equal then the two triangles are similar



SSS – similarity Theorem

If the two triangles is such that corresponding sides are proportional, then the triangles are similar

SAS – Similarities theorem

If the two triangles is such that two pairs of corresponding sides are proportional and the included angles are congruent then the triangles are similar

 

PROPERTIES OF SIMILAR TRIANGLES

From the previous discussion, properties of similar triangles can be summarized as:-

1. Corresponding angles of similar triangles are equal

2. Corresponding sides of similar triangles are similar

3. Two triangles are similar if two triangles of one triangle are respectively equal to two corresponding angles of the other

4. Two triangles are similar if an angle of one triangle equals an angle of other and the sides including these angles are proportional.

ENLARGEMENT

Scale enlargement

Scale – is a ratio between measurements of a drawing to the actual measurement.

It is normally started in the form 1: in example if a scale o a map is 1: 20000, then 1 unit on the map represents 20000 units on the ground

Scale =

Examples of scales

1. Find the length of the drawing that represents

a) 1 stem when the scale is 1:500,000

Solution:

1:500,000 means 1 cm on the drawing represents 500,000 cm on the actual distance

=

500,000x = 1500,000

X =

X = 3cm

The drawing length is 3cm

b) 45km when scale is 1cm to 900m

Solution:

Scale = 1: 90000

Scale =

X =

The drawing distance is 50cm

2. Find the actual length represented by

a) 3.5cm metres when the scale is 1: 5000m

Solution:

Scale =

=

y = 5000 x 3.5

y = 17500cm

y = = 175m

The distance is 175m

b) 1.8mm when the scale is 1cm to 500metres

Solution:

Scale =

 

=

v= 0.18 x 50000

v = 9000cm

v = 90m

The actual length is 90m

Exercise:

1. Find the length of the drawing that represents

a) 200m when the scale is 1cm to 50meters

Scale =

=

=

X = 4cm

The length of drawing = 4cm

 

b) 1.5 when the scale is 1cm to 100metres

=

x = 15cm

The length of drawing = 15cm

d) 1600km when the scale is 1mm to 1km

=

=

x = 1600km
The length of drawing is 1.6 mm

e) 10m when the scale is 1: 500

=

=

x = 2cm

The length of drawing= 2cm

2. Find the actual length represented by

a) 13.15mm which the scale is 1: 4000

Scale =

=

x = 0.0032875mm

b) 3.78cm when the scale is 1mm to 50km

=

=

x = 0.0000000756

3. On a scale drawing the length of a ship is 42cm. If the actual length of the ship is 84cm, what is a scale if width of the ship is 23cm, what is the corresponding width of the drawing?

Solution:

Scale =

=

=

x = 1:200

Scale = 1:200

=

=

x = 11.5cm

The corresponding width of drawing = 11.5cm

 

ENLARGEMENT

When two figures are similar, one can be considered the enlargement of the other
(a)

b) Square ABCD is the enlargement of PQRS

c)The larger circle is the enlargement of smaller circle

Example

 

1. State whether ABCD is the enlargement of PQRS



Solution:

Since the correspond side are in the ratio 0f 2:1 and corresponding equal then ABCDPQRS

Scale factor:

If two polygons are similar and the ratio of their corresponding sides is 5:3, then the enlargement scale is 5/3

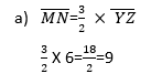
Example

Find the scale of enlargement hence calculate



Solution:


Scale factor for areas

If two polygons have a scale factor of K then the ratio of the areas is K2

Example

If ABSVST and the area of STV is 6 square cm. find the area of ABC


Exercise

1. Two triangle are similar but not congruent. Is one the enlargement of the others one triangle is the enlargement of the other

2. The length of rectangle is twice the length of another rectangle. Is one necessary an enlargement of other. Explain? No, Since the width are not necessarily in the same proportional as the lengths.

3. In figure below, show that PQR is not an enlargement of DEF


= = , = =

PQR is not enlargement of DEF

5. Triangle XYZ is similar to triangle ABC and XY = 8cm. If the area or the triangle XYZ is 24cm2 and the area of the triangle ABC is 96cm2, calculate the length of AB.


ALL NOTES FOR ALL SUBJECTS QUICK LINKS:

AGRICULTURE O LEVEL
PURE MATHEMATICS A LEVEL
BAM NOTES A LEVEL
BASIC MATH O LEVEL
BIOLOGY O/A LEVEL
BOOK KEEPING O LEVEL
CHEMISTRY O/A LEVEL
CIVICS O LEVEL
COMPUTER(ICT) O/A LEVEL
ECONOMICS A LEVEL
ENGLISH O/A LEVEL
COMMERCE O/A LEVEL
ACCOUNTING A LEVEL
GENERAL STUDIES NOTES
GEOGRAPGY O/A LEVEL
HISTORY O/A LEVEL
KISWAHILI O/A LEVEL
PHYSICS O/A LEVEL
MOCK EXAMINATION PAPERS
NECTA PAST PAPERS
Basic Mathematics Study Notes Form 2 Basic Mathematics Study Notes Msomi Maktaba All Notes FORM 2MATHEMATICS

Post navigation

Previous post
Next post

Related Posts

Agriculture Form 1 agriculture Notes

AGRICULTURE FORM 1 – INTRODUCTION TO LIVESTOCK SCIENCE AND PRODUCTION

November 11, 2018February 13, 2019

ALL NOTES FOR ALL SUBJECTS QUICK LINKS: AGRICULTURE O LEVEL PURE MATHEMATICS A LEVEL BAM NOTES A LEVEL BASIC MATH O LEVEL BIOLOGY O/A LEVEL BOOK KEEPING O LEVEL CHEMISTRY O/A LEVEL CIVICS O LEVEL COMPUTER(ICT) O/A LEVEL ECONOMICS A LEVEL ENGLISH O/A LEVEL COMMERCE O/A LEVEL ACCOUNTING A LEVEL…

Read More
Form 5 Commerce Study Notes commerce Notes

FORM FIVE COMMERCE – MONEY AND BANKING

November 11, 2018May 7, 2020

ALL NOTES FOR ALL SUBJECTS QUICK LINKS: AGRICULTURE O LEVEL PURE MATHEMATICS A LEVEL BAM NOTES A LEVEL BASIC MATH O LEVEL BIOLOGY O/A LEVEL BOOK KEEPING O LEVEL CHEMISTRY O/A LEVEL CIVICS O LEVEL COMPUTER(ICT) O/A LEVEL ECONOMICS A LEVEL ENGLISH O/A LEVEL COMMERCE O/A LEVEL ACCOUNTING A LEVEL…

Read More
Chemistry Study Notes chemistry Notes

Form 5 Chemistry – PHYSICAL CHEMISTRY – Three Components Liquid System

November 10, 2018February 13, 2019

ALL NOTES FOR ALL SUBJECTS QUICK LINKS: AGRICULTURE O LEVEL PURE MATHEMATICS A LEVEL BAM NOTES A LEVEL BASIC MATH O LEVEL BIOLOGY O/A LEVEL BOOK KEEPING O LEVEL CHEMISTRY O/A LEVEL CIVICS O LEVEL COMPUTER(ICT) O/A LEVEL ECONOMICS A LEVEL ENGLISH O/A LEVEL COMMERCE O/A LEVEL ACCOUNTING A LEVEL…

Read More

Leave a Reply Cancel reply

Your email address will not be published. Required fields are marked *

  • Agriculture Form 1
  • Agriculture Form 2
  • Agriculture Form 3
  • Agriculture Form 4
  • Agriculture Study Notes
  • Basic Applied Mathematics Study Notes
  • Basic Mathematics Study Notes
  • Biology Study Notes
  • Book Keeping Study Notes
  • Chemistry Study Notes
  • Civics Study Notes
  • Computer Study/ICT Study Notes
  • Economics Study Notes
  • English Language Study Notes
  • English Study Notes
  • Examination TimeTables
  • Form 1 Basic Mathematics Study Notes
  • Form 1 Biology Study Notes
  • Form 1 Book Keeping Study Notes
  • Form 1 Chemistry Study Notes
  • Form 1 Civics Study Notes
  • Form 1 Commerce Study Notes
  • Form 1 Computer Study/ICT Study Notes
  • Form 1 English Study Notes
  • Form 1 Geography Study Notes
  • Form 1 History Study Notes
  • Form 1 Physics Notes
  • Form 2 Basic Mathematics Study Notes
  • Form 2 Biology Study Notes
  • Form 2 Book Keeping Study Notes
  • Form 2 Chemistry Study Notes
  • Form 2 Civics Study Notes
  • Form 2 Commerce Study Notes
  • Form 2 Computer Study/ICT Study Notes
  • Form 2 English Study Notes
  • Form 2 Geography Study Notes
  • Form 2 History Study Notes
  • Form 2 Kiswahili Study Notes
  • Form 2 Physics Notes
  • Form 3 Basic Mathematics Study Notes
  • Form 3 Biology Study Notes
  • Form 3 Book Keeping Study Notes
  • Form 3 Chemistry Study Notes
  • Form 3 Civics Study Notes
  • Form 3 Commerce Study Notes
  • Form 3 Computer Study/ICT Study Notes
  • Form 3 English Study Notes
  • Form 3 Geography Study Notes
  • Form 3 History Study Notes
  • Form 3 Kiswahili Study Notes
  • Form 3 Physics Notes
  • Form 4 Basic Mathematics Study Notes
  • Form 4 Biology Study Notes
  • Form 4 Book Keeping Study Notes
  • Form 4 Chemistry Study Notes
  • Form 4 Civics Study Notes
  • Form 4 Commerce Study Notes
  • Form 4 Computer Study/ICT Study Notes
  • Form 4 English Study Notes
  • Form 4 Geography Study Notes
  • Form 4 History Study Notes
  • Form 4 Kiswahili Study Notes
  • Form 4 Physics Notes
  • Form 5 Accounting Study Notes
  • Form 5 Advanced Mathematics Study Notes
  • Form 5 Basic Applied Mathematics Study Notes
  • Form 5 Chemistry Study Notes
  • Form 5 Commerce Study Notes
  • Form 5 Economics Study Notes
  • Form 5 English Language Notes
  • Form 5 General Studies (GS) Study Notes
  • Form 5 Geography Study Notes
  • Form 5 History 1 Study Notes
  • Form 5 Physics Notes
  • Form 6 Accounting Study Notes
  • Form 6 Advanced Mathematics Study Notes
  • Form 6 Basic Applied Mathematics Study Notes
  • Form 6 Biology Study Notes
  • Form 6 Chemistry Study Notes
  • Form 6 Commerce Study Notes
  • Form 6 Economics Study Notes
  • Form 6 English Language Notes
  • Form 6 Geography Study Notes
  • Form 6 History 2 Study Notes
  • Form 6 Kiswahili Study Notes
  • Form 6 Physics Notes
  • Form four Mock Examination
  • Form Four Past Papers
  • Form Six Past Papers
  • Form Two Past Papers
  • General Studies (GS) Study Notes
  • Geography Study Notes
  • History Study Notes
  • Kiswahili Study Notes
  • link za magroup ya whatsapp
  • Mock Examination
  • Msomi Maktaba All Notes
  • NECTA Past Papers
  • Physics Study Notes
  • QT Past Papers
  • Standard Seven Past Papers
©2026 Msomi Maktaba | WordPress Theme by SuperbThemes