Skip to content
Msomi Maktaba
Msomi Maktaba
  • Home
  • Notes za civics
  • Notes za English
  • Notes za Mathematics
  • Notes Za Chemistry
  • Notes za Physics
  • Notes za History
  • Notes za Geography
  • Notes za Computer
  • Notes za Biology
  • About Us
  • Privacy Policy
  • Contact us
Msomi Maktaba
Mathematics Notes

Form 4 Mathematics – MATRICES

msomimaktaba, November 13, 2018August 17, 2024

MATRICES

Operations on matrices

A matrix represents another way of writing information. Here the information is written as rectangular array. For example two students Juma and Anna sit a math Exam and an English Exam. Juma scores 92% and 85%, while Anna scores 66% and 86%. This can be written as.

A size of a matrix is known as its order and is denoted by the number of rows times the number of columns. Therefore the order of above matrix is each of the numbers in the matrix is called an element.


Types of matrix

(i) Row matrix. This is a matrix having only one row. Thus is a row matrix.
(ii) Column matrix. This is a matrix having only one column. Thus is a column matrix.
(iii) Null matrix. This is a matrix with all its elements zero. Thus is a null matrix or zero matrix.
(iv) Square matrix. This is a matrix having the same number of rows and column. Thus is a square matrix.
(v) Diagonal matrix. This is a square matrix in which all the elements are zero except the diagonal elements. Thus is a diagonal matrix.
Note that: The diagonal in a matrix always runs from up left to lower right.

(vi) Unit matrix of identity matrix. This is a diagonal or square matrix in which the diagonal elements equal to 1. An identity matrix is usually denoted by the symbol I. Thus
I =

(vii) Equal matrix. Two matrices are said to be equal if they are of the some order, responding elements are equal.

An m x n matrix (E.g. matrix A) is a rectangular array of m x n real (or complex numbers) arranged in M horizontal rows and n vertical columns.

A =

Example

1. The table below represents number of students in each stream in each form. Now write that information in matrix.

Form

I

II

III

IV

Stream J

36

38

30

41

Stream K

38

41

29

30

Stream L

29

50

35

42

J =

2. Give the order of the following matrices.
i.A =
has order 2×2

ii.B =

has order 2×3

iii. C = (P Q) has order 1×2
iv. D =

has order 3×1


SPECIAL MATRICES

Is the matrix having all elements zero ( zero matrix)
Z =

IDENTITY MATRIX: Is the square matrix whose elements is the leading diagonal are everywhere 1 and 0 elsewhere.

I = .

=
Identity matrix

ADDITION OF MATRICES

Matrix addition is performed by adding corresponding elements.
for example

Example
1. Given matrices A = (1 2 3) and B = ( 4 5 6)

Find
i. A + B
ii. B + A

Solution
i. A + B = ( 1 2 3) + ( 4 5 6)
= ( 1+4 2+5 3+6)
= ( 5 7 9)

ii. B + A = ( 4 5 6 ) + ( 1 2 3 )
= ( 4+1 5+2 6+3)
= (5 7 9)

2. If A = and B =

Then, find A + B
A + B = +
=

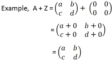
ADDITIVE IDENTITY MATRIX

Consider any 2 x 2 matrix N = , where a, b, c, and dare any real number. If N + Y = Y + N = N, then N

is the addictive identity matrix.

The 2 x 2 addictive identity matrix is

Let matrix A =
And Z =

Then Z is an additive identity matrix.
i.e. A+Z = A and Z +A = A

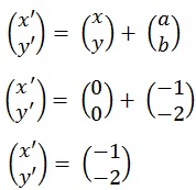
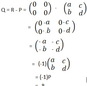
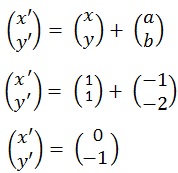
ADDITIVE INVERSE MATRIX
Consider any two matrices of the same order P and Q.

If P + Q = Q + P = R, then Q is called the additive inverse of P or P is called the additive inverse of Q.

i.e. Q = -P or P = -Q

Suppose,

If P + Q = Z then,


= -P
Therefore the additive inverse of P is -P

Example
1. Find the additive inverse of
(a) B = (b) C=

Solution

SUBTRACTION OF MATRICES

The process of subtracting a real number “f” from another real number g is the same as adding g to the additive inverse of f.

Thus f-g = f + (-g).

NOTE

When matrix P is subtracted from another matrix Q the result is the same as adding P to the additive inverse of Q.

i.e P- Q = P + (-Q).

SCALAR MULTIPLICATION OF MATRICES

Example If B =

i. Find 2B

Solution
2 =

ii. Find B

Solution
=


Questions

1. Given;
A = B = C =

FIND.
(a) 3A + 2B
Solution
3A = 3
3A =
2B = 2
2B =
3A+ 2B =
=

(b) 5 ( A + B)
A+ B = =
5(A+B) = 5
=

2. Using the matrices;
A = , B = and C =

a) Find A (BC)
BC =
BC =

A (BC) =
=
=

b) (AB ) C
AB =
AB =
C =

(AB)C =
(AB)C =

DETERMINANT OF A MATRIX


NOTE

Determinants exist for square materials only.

Calculate the determinant of a matrix and tell whether the matrix is singular or non singular.
1. A =

Solution

= (-1 x4) – (2×3)
= -4 -6
= -10
A is non singular matrix.

Inverse of matrices

The inverse of a matrix say P is another matrix denoted by P-1


NOTE

Can be found by interchanging the elements of the leading diagonal so that d takes place of a and a takes place of d. Change the sign of the elements in the main diagonal so that b and c becomes –b and –c respectively.

Divide each element by the determinant of A

2. Inverse exist for non singular matrix.

3. Singular matrix has no inverse because they have zero determinant.


Example

Determine the inverse of the gives matrix and indicate if it is singular or non singular.
1. A =

Solution

Determinant; (A) = (4×4) – (-4×4)
= 16+16
= 32
A-1 =
A-1 =

A is non singular matrix.

2. B =

Solution
Determinant ( B ) = (-1×1) – (-1x-1)
= -1-1
= -2
B -1 = -1/2
B-1 =

MATRICES ON SOLVING SIMULTANEOUS EQUATIONS
Questions

1.5X + 6Y = 1
7X + 8Y = 15
=

Let
be A

= (5×8) – (7×6)
= 40 – 42
= -2
A-1=
A-1 =
= =
= =

=

x = 1
y = 1

2.Solve the following simultaneous equation by matrix.

4X + 2Y= 40
X + 3Y = 35
=
Let be B
= (4×3 ) – ( 2×1)
= 12 2
= 10
B-1=
=

=

=

=

X = 5
Y = 10

CRAMMERS RULE FOR SOLVING SIMULTANEOUS EQUATIONS

Is a rule used to solve the simultaneous equations

Consider the following examples

Solve the following system of simultaneous equation

1. 5X+6Y = 11
7X + 8Y = 15

Solution
=
Let A =

= ( 5×8) – (7×6)
= 40-42
= -2
Let B =

= (11×8) – (15×6)
= 88- 90
= -2
X= = = 1

X= 1
Let C =
= ( 5×15) – (7×11)
= 7577
= -2
Y = =

2. 4X-6= -3Y
4+5Y = -2X

Solution
4X+ 3Y = 6
-2X-5Y = 4
=

Let A =

= (4X-5) – (-2X3)
= -20 + 6
= 14
Let B =

A = (4X-5) – (-2X3)
Let B =

=(6X-5) – (4X3)
= -30 -12
= -42
X= = = 3

X= 3
Let C =

= (4X4) – (-2X6)
= 16- -12
= 28
Y =

Y = 28
-14
Y = -2

TRANSFORMATION IN THE PLANE

Transformation in the plane is a mapping which shifts an object from one position to another within the same plane.

Examples of transformations in the xy plane are

i. Reflection

ii. Rotation

iii. Enlargement

iv. Translation

REFLECTION
-The action or process of sending back light, heat or sound from a surface.

ISOMETRIC MAPPING

-Is a transformation which the object size is maintained.
-Reflection is an example of isometric mapping.

Reflection in the line included an angle (α) passing through the origin.

inclined at B with the coordinates being (X, Y)
is the image of under reflection is
PP is perpendicular to OS (is the line of reflection)
POS= α β

ΔOPQ is right angled at Q

Hence X = OP cos B……(i)
Y = OP sin B
is perpendicular to the axis of X at R

Coordinates of R are ( X1,0)
OR= X 1
RP1=Y1
ΔOP1R is right angled at R
P1OS= POS= α-β
Angle P1OR = α – β + α – β + β = 2α – β
Cos (2α-β)= X1
OP1
X1= OP1cos (2α-β)….. (iii)

Y1 = sin (2α-β)
OP1
Y1=OP1sin (2α-β)……(iv)
Cos (A+B) = cos A cos B – sin A sin B
Sin(A+B) = sin A cos B+ sin B cos A
X1 = OP1 cos 2α cosβ + OP sin 2α cos β…. (iii)
Y1= OP sin 2α cos β – OP1 sin B cos 2α
X1= OP cos 2α cos β+ OP sin 2α sin β
Y1= OPsin2αcos β – Op sinβ cos 2α
X1 = OP cos β cos2α + OP sin β sin 2α
Y1= OP cos βsin 2α – OP sin β cos 2α
X1 = X cos 2α + Y sin 2α …..( i)
Y1 = X sin 2α – Y cos 2 α …..(ii)
=


Exercise

1. Find the image of the point A (1, 2) after a reflection in the Y= X plane.

Solution;
Y= X
= 1
Tan α == 1
α= 900
=
=
=


(X1, Y1) = (2, 1)

2. Find the image of B (3,4) after a reflection in the line Y= -X followed by another reflection in the line Y= 0

My = -X
My = 0

Y= -X


y = – x
y = – 1
x
α = – 450 for clockwise movement
Or
α = 1350 anticlockwise movement

=

=

=

(X1, Y1) = (-4, -3)

Followed reflection at Y = 0
Tan α = 0
α = 0
=

=

=

(X11, Y11) = (-4, 3)

In questions 3 to 6, write the matrix of reflection in a given line.
3. Y= 0 ( the X axis)
Y= 0
Tan α= 0
α= 0
=

Mx =

4. Y = X
= 1

Tan α= 1
Α= 900

=

=

5. X = 0
Tan α = 0
α= 0
=
=

6. Find the image of the point (1, 2) after a reflection in the line Y= X followed by another reflection in the line Y= -X.
= 1
Tan α = 90 0
=
=
=

= ( 2, 1)

ROTATION
Find the image of the point B (1,2) after a rotation by 900 about the origin.

Solution:

= =
Rθ = =

IMAGE OF A POINT ROTATED AT INCLINED LINE AT ANGLE B

Let be inclined at an angle B
=
PA is perpendicular to the X – axis at A
= X , = Y
ΔOAP is right angled at A with POA = B
Cos B = X
OP
X = OP Cos B …….(i)
Sin B = Y
OP
Y = OP sin B ….. (ii)

is perpendicular to the X – axis at B
Cos (B+ θ) = X1
OP
X 1 = cos ( B + θ)
X1 = cos B cos θ – OP sin B sinθ
X1 = X cos θ – Y sin θ ……(iii)
Sin (B+ θ) = Y 1
OP
Y1= sin (B+ θ)
Y1= sin B cos θ + sin θ cos B
Y1= Y cos θ + X sin θ …..(iv)

In matrix form
=

Question
The matrix of rotation
1. 900 about the origin.
R =

=

2. find the image of (1,2) after a rotation of 900 followed by another rotation of 2700 about the origin.

Solution
=

=
=

=

3. Find the image of 3X + 4Y + 6 = 0 under a rotation of 900 about the origin.

Solution:
3X + 4Y = -6
X intercept, Y = 0
3X = -6
X = -2
Y intercept, X = 0
4Y= -6
Y =
(-2,)

=

=

=

TRANSLATION
Exercise
1. A translation takes every point a distance 1 unit to the left and 2 units downwards. Find where it takes.
a. (0,0)
b. (1,1)
c. (3,7)

Solution
a. (0,0)

(a,b) = (-1,-2)

b. (1,1)
(a,b) = (-1,-2)

C. (3,7)

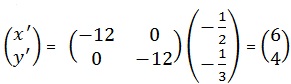
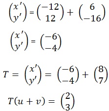
2. If translation takes the origin to (8,7). Given

U= (-12, 12) , v= (6,-16)

find T(u+v)
= ( u + v)

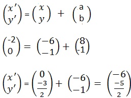
3. Find the image if the line 3x + 4Y + 6 = 0 under a translation by the vector (-6,-1)
3x + 4Y -6 = 0

Solution

Y = mx + c

4Y = -3/4 x – 3/2
X intercept, y=0
3x+ 0 + 6=0
3X= -6
X = -2
(-2,0)

Y intercept, X= 0
0 + 4Y + 6 = 0
4Y = -6
Y =
(0,)

(-8,-1) and (-6,)

Y- Y1 = M (X-X1)
Y- -1 = M( X- -8)
Y + 1 = (X+8)
Y+1 = X +
Y= X 7

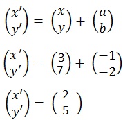
4. Find the image of the line Y = X under a translation by the vector (5,4)

Solution

Y = X

X

-2

1

Y

-2

1

(3,2) and (6,5)
Slope =

=

=

M =1 (3 ,2)
Y-Y1 = M ( X –X1)
Y-2 = 1(X – 3)
Y-2 = X – 3
Y = X – 3 + 2
Y = X -1

LINEAR TRANSFORMATIONS
Consider transformation T,
Let u and v be two vectors
Let t be the real number
The t is a linear transformation if it obeys the following properties.
i. T (tu) = t T (u)
ii. T( u+v) = T (u) + T(v)


ENLARGEMENT

The transformation which magnifies an object such that its image is proportionally increased or decreased in size by some factor.
General matrix of enlargement is

where k is non zero or real number (Linear scale factor)

EXERCISE
1. Find the image of (1,2) under the enlargement by T=

Solution

= 1 =

(X1, Y 1) = (5, 10)

2. Find the image of ( -1/2 , -1/3 ) under the enlargement by
T=

Solution

(X‘, Y ‘) = (6, 4)

3. Find the enlargement matrix which maps the point (3,-4) into (18, -24).

-24 = 4k

18 = -3k

K= -6

-24 = 4K

K = -6

(-6,-6)

ALL NOTES FOR ALL SUBJECTS QUICK LINKS:

AGRICULTURE O LEVEL
PURE MATHEMATICS A LEVEL
BAM NOTES A LEVEL
BASIC MATH O LEVEL
BIOLOGY O/A LEVEL
BOOK KEEPING O LEVEL
CHEMISTRY O/A LEVEL
CIVICS O LEVEL
COMPUTER(ICT) O/A LEVEL
ECONOMICS A LEVEL
ENGLISH O/A LEVEL
COMMERCE O/A LEVEL
ACCOUNTING A LEVEL
GENERAL STUDIES NOTES
GEOGRAPGY O/A LEVEL
HISTORY O/A LEVEL
KISWAHILI O/A LEVEL
PHYSICS O/A LEVEL
MOCK EXAMINATION PAPERS
NECTA PAST PAPERS
Basic Mathematics Study Notes Form 4 Basic Mathematics Study Notes Msomi Maktaba All Notes FORM 4MATHEMATICS

Post navigation

Previous post
Next post

Related Posts

The list of Massachusetts Institute Of Technology Notable Alumni

February 4, 2024

When you think of world-renowned institutions with a history of producing highly accomplished alumni, the Massachusetts Institute of Technology (MIT) likely comes to mind. It’s no surprise that its graduates have gone on to make significant contributions and achieve great success in various fields such as science, technology, business, politics,…

Read More

Matokeo ya darasa la saba 2023 Shinyanga – PSLE Results for Shinyanga region in 2023/2024

February 3, 2024

Now that the PSLE exam is over and for all regions in the country including Shinyanga region and its districts such as Shinyanga MC, Shinyanga DC, Kishapu DC, Kahama TC, Ushetu TC, Msalala DC, you might be wondering what your results are. If you’re anything like most students, you probably…

Read More
Form Two Past Papers pastpapers

Arabic Form Two Past Papers – NECTA O Level

October 16, 2019October 16, 2019

Click The Links Below to download Form 2 Past Papers Arabic Year Questions/Answers 2018 Questions 2012 Questions (Zanzibar) 2010 Questions (Zanzibar)   O LEVEL NECTA PAST PAPERS – Form Two (FTSEE/FTNA)   Powered BY maktaba.tetea.org ALL NOTES FOR ALL SUBJECTS QUICK LINKS: AGRICULTURE O LEVEL PURE MATHEMATICS A LEVEL BAM…

Read More

Leave a Reply Cancel reply

Your email address will not be published. Required fields are marked *

  • Agriculture Form 1
  • Agriculture Form 2
  • Agriculture Form 3
  • Agriculture Form 4
  • Agriculture Study Notes
  • Basic Applied Mathematics Study Notes
  • Basic Mathematics Study Notes
  • Biology Study Notes
  • Book Keeping Study Notes
  • Chemistry Study Notes
  • Civics Study Notes
  • Computer Study/ICT Study Notes
  • Economics Study Notes
  • English Language Study Notes
  • English Study Notes
  • Examination TimeTables
  • Form 1 Basic Mathematics Study Notes
  • Form 1 Biology Study Notes
  • Form 1 Book Keeping Study Notes
  • Form 1 Chemistry Study Notes
  • Form 1 Civics Study Notes
  • Form 1 Commerce Study Notes
  • Form 1 Computer Study/ICT Study Notes
  • Form 1 English Study Notes
  • Form 1 Geography Study Notes
  • Form 1 History Study Notes
  • Form 1 Physics Notes
  • Form 2 Basic Mathematics Study Notes
  • Form 2 Biology Study Notes
  • Form 2 Book Keeping Study Notes
  • Form 2 Chemistry Study Notes
  • Form 2 Civics Study Notes
  • Form 2 Commerce Study Notes
  • Form 2 Computer Study/ICT Study Notes
  • Form 2 English Study Notes
  • Form 2 Geography Study Notes
  • Form 2 History Study Notes
  • Form 2 Kiswahili Study Notes
  • Form 2 Physics Notes
  • Form 3 Basic Mathematics Study Notes
  • Form 3 Biology Study Notes
  • Form 3 Book Keeping Study Notes
  • Form 3 Chemistry Study Notes
  • Form 3 Civics Study Notes
  • Form 3 Commerce Study Notes
  • Form 3 Computer Study/ICT Study Notes
  • Form 3 English Study Notes
  • Form 3 Geography Study Notes
  • Form 3 History Study Notes
  • Form 3 Kiswahili Study Notes
  • Form 3 Physics Notes
  • Form 4 Basic Mathematics Study Notes
  • Form 4 Biology Study Notes
  • Form 4 Book Keeping Study Notes
  • Form 4 Chemistry Study Notes
  • Form 4 Civics Study Notes
  • Form 4 Commerce Study Notes
  • Form 4 Computer Study/ICT Study Notes
  • Form 4 English Study Notes
  • Form 4 Geography Study Notes
  • Form 4 History Study Notes
  • Form 4 Kiswahili Study Notes
  • Form 4 Physics Notes
  • Form 5 Accounting Study Notes
  • Form 5 Advanced Mathematics Study Notes
  • Form 5 Basic Applied Mathematics Study Notes
  • Form 5 Chemistry Study Notes
  • Form 5 Commerce Study Notes
  • Form 5 Economics Study Notes
  • Form 5 English Language Notes
  • Form 5 General Studies (GS) Study Notes
  • Form 5 Geography Study Notes
  • Form 5 History 1 Study Notes
  • Form 5 Physics Notes
  • Form 6 Accounting Study Notes
  • Form 6 Advanced Mathematics Study Notes
  • Form 6 Basic Applied Mathematics Study Notes
  • Form 6 Biology Study Notes
  • Form 6 Chemistry Study Notes
  • Form 6 Commerce Study Notes
  • Form 6 Economics Study Notes
  • Form 6 English Language Notes
  • Form 6 Geography Study Notes
  • Form 6 History 2 Study Notes
  • Form 6 Kiswahili Study Notes
  • Form 6 Physics Notes
  • Form four Mock Examination
  • Form Four Past Papers
  • Form Six Past Papers
  • Form Two Past Papers
  • General Studies (GS) Study Notes
  • Geography Study Notes
  • History Study Notes
  • Kiswahili Study Notes
  • link za magroup ya whatsapp
  • Mock Examination
  • Msomi Maktaba All Notes
  • NECTA Past Papers
  • Physics Study Notes
  • QT Past Papers
  • Standard Seven Past Papers
©2026 Msomi Maktaba | WordPress Theme by SuperbThemes