Skip to content
Msomi Maktaba
Msomi Maktaba
  • Home
  • Notes za civics
  • Notes za English
  • Notes za Mathematics
  • Notes Za Chemistry
  • Notes za Physics
  • Notes za History
  • Notes za Geography
  • Notes za Computer
  • Notes za Biology
  • About Us
  • Privacy Policy
  • Contact us
Msomi Maktaba
Mathematics Notes

Form 3 Mathematics – FUNCTION

msomimaktaba, November 13, 2018August 17, 2024

FUNCTION

A function is a set of ordered pairs which relates two sets such that to each element of one set there is only one element of the second set


Example

Represent the following set of ordered pairs in a pictorial diagram.
(1,4), (2,3), (-1,2), (-2,-3).

Solution

A function whose graph is such that any line drawn parallel to the x – axis at any point cuts it at only one point is one-to-one function.

Examples.

1. Write the expression of a function ‘ double plus one’

Solution

f:x 2x +1

b)
2.Given the function G(x) = 4x-1. Find the value of G(-2).

Solution

G(x) = 4x -1

G(-2) = 4(-2) -1

G(-2) = -8 -1

G (-2) = -9

Exercise 2.1

1. Write each of the following function in the form f: x f(x) use any functions symbol to represent the functions

(a)Divide by 5 and add 2.
(b)Subtract 7 and square
(b)Cube and then double


Solution

(a) F:x f(x)

F:x + 2

(b) F: x (x-7)2

(c) F:x x3+2x

2. Find the value of the function for each given value of x.

(a) f(x)= 2x+3; when
(i) x=1
(ii) x= -2
(iii) x =a


Solution
(a) (i) when x=1

f(x)= 2x+3

f(1)= 2(1)+3

f(1)= 2+3

∴ f(1)= 5.

(ii)when x= -2.

f(x) = 2(-2) +3

f(-2) = -4+3

∴f(-2) = -1

(iii) when x=a
f(x) = 2(a) +3

f(a) =2a+3

∴f(a) = 2a+3

(b) C(x) = x3; when
(i) x=1
(ii) x = -1
(iii)x= 0
(iv)x=b

Solution

(i) C(x) =x3

C (1) =13

C (1) =1

C (1) =1

(ii)C(x) =x3

C (-1) = (-1)3

C (-1) = -1

(iii)C(x) =x3

C (0) =03

C (0) =0

(iv)C(x) =x3

C(b) = b3

(c) K(x) = 3-x; when
(i) x= -1
(ii)x=7

Solution

(i) K(x) = 3-x

K (-1) = 3- (-1)

K (-1) = 4

(ii) k(x)=3 – x
k(7) = 3-7
k(7) = -4

 

DOMAIN AND RANGE OF FUNCTIONS

Example 1.

1. Find the domain and range of f(x) =2x+1

let f(x) = y
y=2x+1

Solution

Domain = {x: xR}

Range – make x the subject
y=2x+1
y-1=2x
(y-1)/2 =x
∴x=(y-1)/2
Range={y: yR}

b Example 2
If y =4x+7 and its domain ={x : -10 < x< 10} find the range.

Solution

Domain = {x: -10 < x< 10}

Range ={y : -33 < y < 47}

y = 4x + 7
Table of values

c Example 3.
Y= √x and domain is -5 < x < 5, Find its range.

Solution

Domain = {x: -5 < x < 5}

Range =y

Table of value of x = √(y)

(y)2= (√x)2

y2= x

x= y2

√5= √y2

y = √5

Range = {y: o < y < √5}

d Example 4.
Given F(x) = find the domain and range.

Solution

Let f(x)=y
Domain of y=
For real values of y: 1-x2 > 0

-x2 > 0-1

-x2 > -1

x2 < 1

√x2< √1

X <√1

X <1

∴Domain {x : X <1 }

let F(x) = y

y=

To get the range, make x the subject

y2 = ()2

y2= 1-x2

X2=1-y2

Therefore =

X=

For real value of x:
1- y2 > 0
y2 < 1
y < √1

y < 1

...Range ={y : y <1}

LINEARFUNCTIONS

Is the function with form f(x) = mx + c.

Where:

f(x)= y

m and c are real numbers

m is called gradient[ slope].

c is called y – intercept.

 

Example

1. Find the linear function f(x) given the slope of -2 and f( -1)=3

Solution

Given:
m(slope)=-2
x=-1
f(-1)=3

from;
f(x) =mx +c

f(-1) =( -2x-1)+c

3 =2+c

3-2 =c

c=1

∴f(x) = -2x+1

Example 2.
Find the linear function f(x) when m=3 and it passes through the points (2, 1)

Solution

f(x) =mx +c

f(2) = 3(2)+ c

1= 6+c

1-6 =c

-5 = c

c= -5

f(x) = 3x + -5

∴ f(x) =3x-5


Example 3
Find the linear function f (x) which passes through the points (-1, 1) and (0, 2 )

Solution

Slope =

=1

m = 1

f(x) = mx +c

f(-1) = 1x(-1) +c

1 =-1+c
c=2

f(x) = 1x +2

∴f(x) = x +2.

4.Draw the graph of h(x) = 3x-4

Table of values of function

X-101
h(x)-7-4-1

 


Exercise

In problems 1 to 3 find the equation of a linear function f(x) which satisfies the given properties. In each case, m dissolves the gradient.

1). m =-3, f(1) = 3
2). m=2, f(0) =5
3). f(1) =2, f(-1) =3

4. Givenm= -4 , f(3) = -4 Find f(x)

In the problem 5 to 9 draw the graphs of each of the given functions without using the table of values
5) f(x)= +

6) f(x) =4

Solution

1. f(x) = mx + c

f(x) = -3(1)+c

f(x) =-3 +c

3= -3 +c

3+3 =c

6=c

C=6

f(x) = -3x +6

2. f(x) =mx +c

f(0) = (2 x 0)+c

5= 0+c

c=5

f(x) =2x+5

3)
3.f(1) =2, f(-1) =3 Alternatively

m = f(-1) = m(-1) + c

M= 3= -m + c…………………..(i)

f(1)=2 f(1) = m(1) + c

f(x)= mx +c 2= m + c(ii)

f(1)= –x 1+c Solve (i) and (ii) Simultaneously

f(1) = –+c -m + c = 3

2=+c + m + c = 2

2+= c C=5/2

C=2 put c in (i)

f(x) =+ 2 3 = -m + 5/2

m = 5/2 – 3
m= -1/2
...f(x) =+ 2

4.

f(x)= mx + c

f(x) = -4(3)+c

-4 =-12+c

-4+12= c

8=c

C=8

f(x) = -4x+8

5. f(x)= +

y- intercept, x=0

f(0)= 2/5[0] +1/5

f(0)= 0+1/5

y=1/5

{0,0.2}

x- intercept, y=0

0=2/5[x] +1/5

x intercept = – ½ ( -1/2, 0)

y intercept = 1/5 ( 0,0.2)

 

 

6. f(x) =4

From f(x) = y

y = 4

 

 

 

QUADRATIC FUNCTIONS

A quadratic function is any function of the form;

f(x)=ax2+bx+c

Where a ≠ 0

a ,b and c are real numbers.

When a = 1, b=0, and c= 0

X-3-2-10123
f(x)9410149

 

The shape of the graph of f(x)=ax2+bx+c is a parabola

•The line that divides the curve into two equal parts is called a line of symmetry [axis of symmetry]

•Point (0,0) in f(x)=x2 called the turning point (vertex).

If “a” is positive the turning point is called minimum point (least value).

If “a” is negative the turning point is called maximum point.

PROPERTIES OF QUADRATIC FUNCTIONS

Think of f(x)= ax2+bx+c

y=a(x2+bx/a)+c

y= a( x2+bx/a+b2/4a2)+ c-b2/4a2

=a(x + ) 2 +

x> 0 then

a(x+)2 > 0

y =

 

This is when x = –

The turning point of the quadratic function is )

Example

Find the minimum or maximum point and line of symmetry f(x) = x2 – 2x-3. Draw the graph of f(x)

Solution:

Turning point = )

= ( – )

Maximum point = (1, -4)

Line of symmetry is x=1

x-5-2-101234
f(x)
1550-3-4-305

 

 

Exercise

1. Draw the graph of the function y=x2-6x+5 find the least value of this function and the corresponding value of x

Solution

x-3-2-1012345
y32211250-3-4-30

 

 

Least value.

y= – 4 where x=3

2. Draw the graph of the function y =x2-4x+2 find the maximum function and the corresponding value of x use the curve to solve the following equations

a) X2-4x-2 = 0

b) X2-4x-2 = 3

b)

Solution

Table of values of y= x2-4x+2

x-3-2-10123456
y231472-12-12714

 

Find the maximum value of the function.;

Maximum value

=

Y= ( ) = – 2

 

Find the maximum value of the function;

Maximum value= )

Maximum value= )

 

Maximum value

[2, -2]

The maximum value is = (-2,-2)

a) x2-4x-2 = 0
add 4 both sides

x2-4x + 2 = 4
but x2-4x+2 = y
... y = 4
Draw a line y = 4 to the graph above. The solution from the graph is

x1 = -1/2 , x2 = 9/2
(x1,x2) = (-1/2,9/2 )

(b) x2-4x – 2 = 3

add 4 both sides
x2-4x – 2 +4 = 3+ 4
x2-4x + 2 = 7

but x2-4x+2 = y
... y = 7
Draw a line y = 7 to the graph above. The solution from the graph is

x1 = -1 , x2 = 5
(x1,x2) = (-1,5 )
3. In the problem 3 to 5 write the function in the form f(x)= a( x + b)2 +c where a, b, c are constants

f(x) =5-x-9x2

Solution

f(x) = -9x2 – x + 5

= -9( x2 – ) + 5

= -9( x2 – + ) + 5 +

= -9(x – )2 +

 

 

4. In the following functions find:

a) The maximum value

b) The axis of the symmetry

f(x)= x2– 8x+18

Solution

) = )

( 4, 2)

Maximum value =2 where the axis of symmetry x=4.

5. f(x) = 2x2+3x+1

Solution

Maximum value )

)

The turning point of the graph is )

The minimum value of the graph is y = –
axis of symmetry =
POLYNOMIAL FUNCTIONS

The polynomial functions are the functions of the form, ” P(x) =an xn + a n-1 xn-1 + an-2 xn-2 + . . . + a1 x1+a0 x0 “. Where n is non negative integer and an, an-1, an-2 . . . a0 are real numbers. The degree of a polynomial function is the highest power of that polynomial function.

Example

a) f(x) =5x4 -7x3 +8x2– 2x+3 is a degree of 4

b) H(x)=6x-8x2+9x9-6 is a degree of 9

c) G(x) =16x-7 is a degree of 1

d) M(x) =6 degree is 0 =6x0

GRAPHS OF POLYNOMIAL FUNCTIONS


EXAMPLE

Draw the graph of f(x) = x3-2x2-5x+6

Solution

Table of values

x-3-2-101234 
F[x]-240860-4018 

 

 

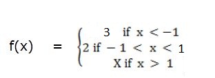
STEP FUNCTIONS


EXAMPLE

1. If f is a function such that;

Draw the graph and find its domain and range.

 

Domain = {x: xR, except -3< x < -2}

Range = {1,4, -2}

 

2. The function is defined by

a)
Sketch the graph of f(x) use the graph to determine the range and the domain. Find the value of f(-6) , f(0).State if it is a one to one function

Domain

= {x : XR}

Range

{ y:y >1}

f(-6) = -2

f(0)= 2

It is not a one to one function.

EXERCISE

1. Draw the graph of the following defined as indicated

 

Solution:

 

 

 

Solution

 

2. Given that f(x) =

 

a) On the same set of axes sketch the graphs of f(x )and the inverse of f(x),From your graphs in [a] above determine;

· (a)The domain and range of f(x)
(b)The domain and range if the inverse of f(x)
(c)Find f(- 5)and f(5)
(d)Is f (x)a one to one?
(e)Is the inverse of f(x) a function?


 

(a) Domain of f(x ) = { x: x }

(b) •Range of f(x) = { y : y }
•Domain of f-1(x ) = { x : x }

(c) Range of f-1(x ) = { y: x }

(d) f(-5) = 1 and f(5) = 6

(e)Yes the inverse of f(x) is a function and f(x) is one-to-one function

 

ABSOLUTE VALUE FUNCTIONS

The absolute value function is defined by f(x)

Example

1. Draw the graph of f(x) = | x |

Solution

Table of values f(x) = | x |

X-3-2-10123
f(x)3210123

 

THE INVERSE OF A FUNCTION

Given a functon y= f(x), the inverse of f(x) is denoted as f-1(x). The inverse of a function can be obtained by interchanging y with x (interchanging variables) and then make y the subject of the formula.

Example

1. Find the inverse of f(x) = 2x+3

Solution

Y= 2x+3

X=2y+3

2y=x-3

Y =

∴ f-1(x

 

EXPONENTIAL FUNCTIONS

An exponential function is the function of the form f(x) = nx where n is called base and x is called exponent.

Example
1.
Draw the graph of f(x)=2x

Solution :

Table of values

X-3-2-10123
f(x)1/81/4½1248

 

2. Draw the graph of f (x)=2-x

Solution:

Table of values

X-3-2-10123
f(X)84211/2¼1/8

 

Properties of exponential function

  • When x increases without bound, the function values increase without bound
  • When x decreases, the function values decreases toward zero
  • The graph of any exponential function passes through the point (0,1).
  • The domain of the exponential function consists of all real numbers whereas the range consist of all positive values.


LOGARITHMIC FUNCTION

Logarithmic function is any function of the form f(x)= read as function of logarithm x under base a or f(x) is the logarithm x base a

Example

Draw the graph of f(x)=

Solution

Table of values

x1/8¼1/21248
f(x)-3-2-10123

 

 

 

THE INVERSE OF EXPONENTIAL AND LOGARITHMIC FUNCTION

The inverse of the exponential function is the relation of logarithmic in the line y=x

EXAMPLE
1. Draw the graph of the inverse of f(x) =2x and f(x)= under the same graph.

Solution

(i) y= 2x

Apply log on both sides
log x=log 2y
log x =y log 2

y = log (x- 2)
f-1
(x) = log (x- 2)
(ii) f(x)=
y=

x=

y= 2x




Table of values

X1/81/41/21248
f(x)-3-2-10123

 

2. Draw the graph of the function f(x)=3x

Table of values

x-3-2-10123
f(X)1/271/91/313927

3. Draw the graph of the function f(X)=8x

Solution

Table of values

X-3-2-10123
f(X)1/5121/641/81864512

 

 

 

Exercise

1. Find the graph of y =2x and given that ¾ =2-0.42 draw the graph of f(x)= (3/4)x

Table of values if f(x) =(3/4)x

X-3-2-10123
2x1/81/4½1248
-0.42x1.260.840.420-0.42-0.841.26
2-0.42x64/2716/94/313/49/1627/64

 

Copy and complete the following table and hence draw the graph of f(x)=(1/4)x

X-3-2-10123
2x-6-4-20246
-2x6420-2-4-6
2-2x6416401/41/161/64
[1/4]x6416401/42/4¾

 

 

 

 

 

OPERATION OF POLYNOMIAL FUNCTION

ADDITIONAL AND SUBTRACTION

The sum of two polynomials is found by adding the coefficients of terms of the same degree or like terms, and subtraction can be found by subtracting the coefficient of like terms.

EXAMPLE

If p(x) = 4x2– 3x+7, Q(x) =3x+2 and r(x)= 5x3-7x2+9

Solution

Sum =p(x)+q(x)+r(x)

(4x2-3x+7)+(3x+2)+(5x3-7x2+9)
4x2-3x+7+3x+2+5x3-7+9

4x2+5x2+7x3+3x+7+2+9

5x3-3x2+18

Alternatively the sum can be obtained by arranging them vertically

4x2-3x+7

0x2+3x+2

5x3-7x2+0+9

5x3-3x2+0+18

P(x)+q(x)+r(x)=5x3-3x2+18

Subtract -5x2+9+5 from 3x2+7x-2

Solution

(3x2+7x-2)-(-5x2+9x+5)

3x2+7x-2+5x2-9x-5

3x2+5x2+7x-9x-2-5

8x2-2x-7 answer

MULTIPLICATION
The polynomial R(x) and S(x) can be multiplied by forming all the product of terms from R(x) and terms from S(x) and then summing all the products by collecting the like terms.
The product can be denoted by RS(X)

example

If p(x)=2x2-x+3 and q(x)=3x3-x find the product p(x)q(x)

Solution

P(x) q(x)= (2x2-x+3) (3x3-x)

6x5-2x3-3x4+x2+9x3-3x

6x5-3x4+7x3+x2-3x

DIVISION
The method used in dividing one polynomial by another polynomial of equal or lower degree is the same to the one used for the long division of number

Example:
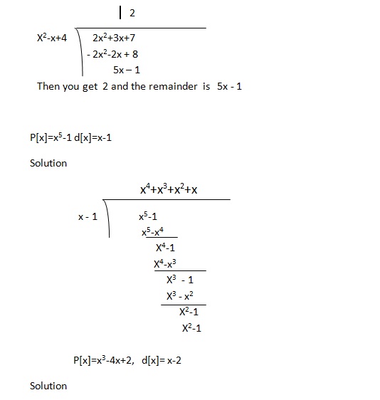
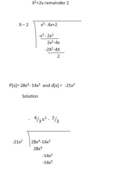
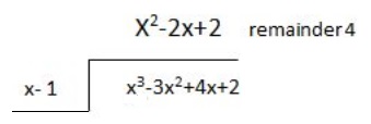
1. Given p[x] =x3-3x2+4x+2 and q[x]=x-1 find

 

Solution

x3-x2

0-2x2+4x

-2x2+2x

0+2x+2

2x-2

0+4

Therefore

= x2 – 2x + 2 +

This means

X3– 3x2+4x+2 is dividend x-1 is divisor

X2-2x+2 is the quotient and 4 is the remainder

Then

X3-3x2+4x+2 = (x2-2x+2) (x-1) + 4

Divided quotient x divisor + remainder

 

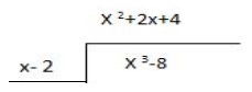
2. Divide p(x) = x3-8 by q(x) = x-2

Solution:

-x3 -2x2

2x2-8

-2x2-4x

4x-8

4x-8
– –

 

 

In the example [2] above there is a remainder i.e. the remainder is zero so dividing one function by another function is one of the way of finding the factors of the polynomial thus if we divide p(x) by q(x) is one of the factors of p(x) other factors can be obtained by fractionazing the quotient q(x).

3. Given p(x) = x3-7x+6 and q(x) = x+3 determine whether or not d(x) is one of the factors of p(x) and hence find the factors if p(x)

Solution

X3+3x2

-3x2-7x

-3x2-9x

2x+6

-2x+6

– –

 

Since the remainder is zero d(x) =x+3 is one of the factors of p(x)

To factorize

X2-3x+2

(x2-x) – (2x+2)

x(x-1)-2(x-1)

(x-2) (x-1)

Therefore other factors are (x-2) and (x-1)

 

THE REMAINDER THEOREM

The remainder theorem is the method of finding the remainder without using long division

Example

1. If p(x) = (x-2) and q(x)+8. Dividend divisor quotient remainder, Then by taking x-2=0 we find

x-2= 0
x=2

subtracting x=2 in p(x)

p(2) =2-2 q(x) +r

p(2)= 0 x q(x)+r

p(2)= 0+r

p(2) =r

So the remainder r is the value of the polynomial p(x) when x=2

2. Give p(x) = x3-3x2+6x+5 is divided by d(x) = x-2 find the remainder using the remainder theorem

Solution

Let d(x)=0

x-2=0

X-2+2 =0+2

X=2

Subtracting x=2 in p(x)

P(2)= 23-3[2]2+6[2]+5

P(2)=8-12+12+5

P(2)=8+5

P(2)=13

The remainder is 13

 

3. The remainder theorem states that if the polynomial p[x] is divided by [x-a] then the remainder ‘r’ is given by p[a]

P(x) =(x-a) q(x)+r hence

P(a) =(a-a) q(x)+r

P(a)=o(q(x))+r

P(a)=0+r

P(a)=r


More Examples

1. By using the remainder theorem, Find the remainder when p[x] =4x2-6x+5 is divided by d[x] =2x-1

Solution

d (x)=0

2x-1=0

2x-1+1=0+1

X =

Substituting

X= in p(x)

P() =4 x -6()+5

P()=1 – 6 x +5

P()=1 -3+5

P()= 3

The remainder is 3

2. P(x)= 3x2-5x+5 is divided by d(x) =x+4

Solution

Let d(x)=0

X+4=0

X+4=0-4

X=-4

Subtracting x=-4 in p(x)

P(-4)=3(-4)2-=5(-4)+5

P(-4)=48+20+5

P(-4)=68+5

P(-4)= 73

The remainder is 73

 

3. P(x)= x3+2x2-x+4 is divided by d(x) = x+3

Solution

Let d(x)=0

X+3=0-3

X=-3

Substituting x=-3 in p(x)

P(-3)= -33+2(-3)2-(-3)+4

P(-3)=-27+18+3+4

P(-3)=-27+21+4

P(-3)=-27+25

P(-3)=-2

The remainder is -2

4. Find the value of ‘a’ if x3-3x2+ax+5 has the remainder of 17 when divided by x-3

Solution

By using remainder theorem

Let x-3 =0

x-3=0+3

x=3

Substituting x=3 we have

x3-3x2+ax+5=17

(3)3-3(3)2+a(3)+5=17

27-27+3a+5=17

3a+5=17-5

3a=12

a=4

5. If ax2+3x-5 has a remainder -3 when divided by x-2. Find the value of a.

Solution

By using the remainder theorem

Let x-2=0

x-2=0+2

x=2

subtracting x=2 we have

a(2)2+3(2)-5 =-3

4a+6-5= -3

4a+1= -3

4a= -4

a = -1

Exercise

1. Divide p(x) by d(x) in the following

P(x)=2x2+3x+7 d(x)=x2+4

Solution

 

 

Use remainder theorem to find the remainder when;

1. P(x)=x3-2x2+5x-4 is divide by d(x)=x-2

Solution

Let d[x]=0

x-2 + 2=0+2

x=2

substituting x=2 in p(x)

p(2)=23-2[2]2+5[2]-4

p(2)=8-8+10-4

p(2)=10-4

p(2)=10-4

p(2)=10-4

Therefore the remainder is 6

2. p(x)= 2x4+ x3+x- is divided by d(x)=x+2

solution

let d(x)=0

x+2 – 2 = 0-2

x = -2

Substituting x = – 2 in p(x)

p(-2)=2(-2)4+(-2)3+(-2)( –)

p(-2)= 2(16)+(-8)-2( –)

p(-2)=32-8-2 ( –)

p(-2)=24-2( –)

p(-2)=21

Therefore the remainder is 21

ALL NOTES FOR ALL SUBJECTS QUICK LINKS:

AGRICULTURE O LEVEL
PURE MATHEMATICS A LEVEL
BAM NOTES A LEVEL
BASIC MATH O LEVEL
BIOLOGY O/A LEVEL
BOOK KEEPING O LEVEL
CHEMISTRY O/A LEVEL
CIVICS O LEVEL
COMPUTER(ICT) O/A LEVEL
ECONOMICS A LEVEL
ENGLISH O/A LEVEL
COMMERCE O/A LEVEL
ACCOUNTING A LEVEL
GENERAL STUDIES NOTES
GEOGRAPGY O/A LEVEL
HISTORY O/A LEVEL
KISWAHILI O/A LEVEL
PHYSICS O/A LEVEL
MOCK EXAMINATION PAPERS
NECTA PAST PAPERS
Basic Mathematics Study Notes Form 3 Basic Mathematics Study Notes FORM 3MATHEMATICS

Post navigation

Previous post
Next post

Related Posts

Basic Mathematics Study Notes Mathematics Notes

Form 4 Mathematics – MATRICES

November 13, 2018August 17, 2024

MATRICES Operations on matrices A matrix represents another way of writing information. Here the information is written as rectangular array. For example two students Juma and Anna sit a math Exam and an English Exam. Juma scores 92% and 85%, while Anna scores 66% and 86%. This can be written…

Read More
Basic Mathematics Study Notes Mathematics Notes

Form 2 Mathematics – SIMILARITY AND ENLARGEMENT

November 13, 2018August 17, 2024

SIMILARITY AND ENLARGEMENT Similar figures: Two polygons are said to be similar if they have the same shape but not necessarily the same size. When two figures are similar to each other the corresponding angles are equal and the ratios of corresponding sides are equal. SIMILARTRIANGLE Triangle are similar when…

Read More
Basic Mathematics Study Notes Mathematics Notes

Form 3 Mathematics – RELATIONS

November 13, 2018August 17, 2024

RELATIONS A relation associates an element of one set with one or more elements of another set. If ”a” is an element from set A which associates another element ”b” from set B, then the elements can be written in an ordered pairs as (a,b) Thus we can define a…

Read More

Leave a Reply Cancel reply

Your email address will not be published. Required fields are marked *

  • Agriculture Form 1
  • Agriculture Form 2
  • Agriculture Form 3
  • Agriculture Form 4
  • Agriculture Study Notes
  • Basic Applied Mathematics Study Notes
  • Basic Mathematics Study Notes
  • Biology Study Notes
  • Book Keeping Study Notes
  • Chemistry Study Notes
  • Civics Study Notes
  • Computer Study/ICT Study Notes
  • Economics Study Notes
  • English Language Study Notes
  • English Study Notes
  • Examination TimeTables
  • Form 1 Basic Mathematics Study Notes
  • Form 1 Biology Study Notes
  • Form 1 Book Keeping Study Notes
  • Form 1 Chemistry Study Notes
  • Form 1 Civics Study Notes
  • Form 1 Commerce Study Notes
  • Form 1 Computer Study/ICT Study Notes
  • Form 1 English Study Notes
  • Form 1 Geography Study Notes
  • Form 1 History Study Notes
  • Form 1 Physics Notes
  • Form 2 Basic Mathematics Study Notes
  • Form 2 Biology Study Notes
  • Form 2 Book Keeping Study Notes
  • Form 2 Chemistry Study Notes
  • Form 2 Civics Study Notes
  • Form 2 Commerce Study Notes
  • Form 2 Computer Study/ICT Study Notes
  • Form 2 English Study Notes
  • Form 2 Geography Study Notes
  • Form 2 History Study Notes
  • Form 2 Kiswahili Study Notes
  • Form 2 Physics Notes
  • Form 3 Basic Mathematics Study Notes
  • Form 3 Biology Study Notes
  • Form 3 Book Keeping Study Notes
  • Form 3 Chemistry Study Notes
  • Form 3 Civics Study Notes
  • Form 3 Commerce Study Notes
  • Form 3 Computer Study/ICT Study Notes
  • Form 3 English Study Notes
  • Form 3 Geography Study Notes
  • Form 3 History Study Notes
  • Form 3 Kiswahili Study Notes
  • Form 3 Physics Notes
  • Form 4 Basic Mathematics Study Notes
  • Form 4 Biology Study Notes
  • Form 4 Book Keeping Study Notes
  • Form 4 Chemistry Study Notes
  • Form 4 Civics Study Notes
  • Form 4 Commerce Study Notes
  • Form 4 Computer Study/ICT Study Notes
  • Form 4 English Study Notes
  • Form 4 Geography Study Notes
  • Form 4 History Study Notes
  • Form 4 Kiswahili Study Notes
  • Form 4 Physics Notes
  • Form 5 Accounting Study Notes
  • Form 5 Advanced Mathematics Study Notes
  • Form 5 Basic Applied Mathematics Study Notes
  • Form 5 Chemistry Study Notes
  • Form 5 Commerce Study Notes
  • Form 5 Economics Study Notes
  • Form 5 English Language Notes
  • Form 5 General Studies (GS) Study Notes
  • Form 5 Geography Study Notes
  • Form 5 History 1 Study Notes
  • Form 5 Physics Notes
  • Form 6 Accounting Study Notes
  • Form 6 Advanced Mathematics Study Notes
  • Form 6 Basic Applied Mathematics Study Notes
  • Form 6 Biology Study Notes
  • Form 6 Chemistry Study Notes
  • Form 6 Commerce Study Notes
  • Form 6 Economics Study Notes
  • Form 6 English Language Notes
  • Form 6 Geography Study Notes
  • Form 6 History 2 Study Notes
  • Form 6 Kiswahili Study Notes
  • Form 6 Physics Notes
  • Form four Mock Examination
  • Form Four Past Papers
  • Form Six Past Papers
  • Form Two Past Papers
  • General Studies (GS) Study Notes
  • Geography Study Notes
  • History Study Notes
  • Kiswahili Study Notes
  • link za magroup ya whatsapp
  • Mock Examination
  • Msomi Maktaba All Notes
  • NECTA Past Papers
  • Physics Study Notes
  • QT Past Papers
  • Standard Seven Past Papers
©2025 Msomi Maktaba | WordPress Theme by SuperbThemes