Skip to content
Msomi Maktaba
Msomi Maktaba
  • Home
  • Notes za civics
  • Notes za English
  • Notes za Mathematics
  • Notes Za Chemistry
  • Notes za Physics
  • Notes za History
  • Notes za Geography
  • Notes za Computer
  • Notes za Biology
  • About Us
  • Privacy Policy
  • Contact us
Msomi Maktaba
Mathematics Notes

Form 3 Mathematics – STATISTICS

msomimaktaba, November 13, 2018August 17, 2024

STATISTICS

Is the study or the methods of collecting, summarizing and presenting data and interpreting the information.

MEASURES OF CENTRAL TENDENCY

1. Mean

2. Median

3. Mode

MEAN “X”

Is obtained by adding up all the data values then divide by the number of characters.

I.e.

i.e. =mean

x1+x2+x3………. Sum of observations

N =number of observation

Example

1. Find mean score from the following scores of biology test 10, 25, 45, 15,63 42,7

=

= 29.57

When the data is given with frequency or in grouped data;

= or

f= frequency

∑= summation

2. Find the mean number of children per family from the following table

No. of children [x]012345678
No. of families [f]36781012842

Solution

Finding the mean of the numbers in the table below;

No. of children [x]No. of families [f]fx
030
166
2714
3824
41040
51260
6848
7428
8216
Total 60236

 

 

 

 

= =


= 3.93

Exercise

1. Football club has the following number of goals scored against them 0,1,0, 2, 9,0 , 1, 2,1. What is the mean number of goals scored against them?

Solution

=

=

= 1.77

 

2. In a class of 30 girls the mean mass was 50kg calculate the total mass of the class.

Solution

=50

N =30

=

=

30 x 50 = x 30

∑fx = 1500kg

MEAN OF THE GROUPED DATA

1. The table below shows a distribution of 100 students find the mean mark.

Class intervalClass mark [x]Frequency [f]fx
91-959300
86-9088188
81-85836498
76-807810780
71-7573151095
66-7068342312
61-6563221386
56-605810580
51-55532106
N=100∑fx=6845

 

Mean =

=

The mean is 68.45


MEAN BY ASSUMED MEAN METHOD
=A +

 

Where,

A = assumed mean

D = difference between the class marks and the assumed mean d= x-A

F= frequency

N= total frequency

From the above example use the data to find the mean by assumed mean method.Take the assumed mean as 58.

Class intervalClass mark[x]F D=x-Afd
91-95930350
86-908813030
81-8583625150
76-80781020200
71-75731515225
66-70683410340
61-6563225110
56-60581000
51-55532-5-10
Total1001045

 

Total

A=58

= A +

= 58 +

 

= 68.45

The mass of students were recorded as shown below in the following figure.

 

Class mark[x]ffx
6110610
64201280
67302010
70151050
735365
Total805315

 

=
=

= 66.4365

= 66.44

Exercise

a)1. Show the distribution of the children’s age in a month. Calculate the mean age in months using assumed mean that is the formula;

= A +

Calculate the mean age in months using the formula;

= A +

 

Class markfrequency
41-463
35-404
29-349
23-2812
17-2218
11-1628
5-1026

Solution:

To calculate the mean age in months using an assumed mean that is the formula

= A +

 

Class mark[x]Frequency [f]D= x-Afd
41-4633090
35-4042496
29-34918162
23-281212144
17-22186108
11-162800
5-1026-6-156
Total100444

 

Total

Let A= 11-16

Let A = 13.5

=A +

= 13.5 +

=13.5+4.44

=17.94

2. Calculate the mean age in months using the formula for mean calculation.

Solution


=

=

=17.94

3. A survey was of 200 children under 10 years to see how many visits they made to the clinic during the courses of the year. The results were recorded as shown in the table below.

 

Number of visitsfrequency
516
633
147
854
931
1010
114
122
130
142
151

 

Solution

=

 

Number of visits[x]Frequency [f]Fx
51680
633198
747329
854432
931279
1010100
11444
12224
1300
14228
15115
Total 2001529

 

=

=

=7.645

Mean number of visits per child = 7.645

 

4. A histogram for 100 mathematics scores use the histogram to find the mean score

 

Solution

from

=A+

Let A = 37

=37+375/100

= 40.75


MEDIAN

Median is a point that divides the data into two parts such that equal numbers of the data fall above and below that point.

Computation of the median depends on whether the data is ODD or EVEN or there is duplication of data [i.e. data with frequency]


MEDIAN OF ODD NUMBERS OF DATA

STEP 1

Arrange the numbers in ascending/descending order

1,1, 2,2,5, 5

STEP 2

Pick the number which is between those numbers. If it is even find the average of the two middle numbers
e.g:-
2+2= 4/2=2

Median of numbers 2,3,9,11, 2, 2,2, 2, 3, 9, 11

STEP 1

Arrange the numbers in ascending order
2,2,2,2,2,3,3,9,9,11,11

STEP
Pick the number which is between those numbers

Median =3


Example1.

1.Find the median of the following observations
1, 7, 4, 3, 8

Solution

1, 3, 4, 7, 8

Median =4

Exercise

1) 1, 2, 5, 3. Find the median of the given data


solution
Step 1

Arrange the data in ascending order

1, 2, 3, 5

Step 2

1, 2, 3, 5

=

=

Median is 2.5

2) 1, 1, 3, 2, find the median given even numbers of data

Step1

Arrange the data in ascending order

1, 1, 2, 3

Step 2

1, 1, 2, 3

=

=1.5

 

Median is 1.5

3) 5, 3, 1, 6, 8 find the median given odd number of data

Step 1

Arrange the data in ascending order

1, 3, 5, 6, 8,

Step 2

1, 3, 5, 6, 8

Median is 5

4) Obtain the media of the following
1, 1, 6, 9, 8, 5

Step 1

Arrange the data in ascending order

1, 1, 5, 6, 8, 9

Step 2

1, 1, 5, 6, 8, 9

5+6

Median is 5.5

5) Obtain the media of the following 2, 3, 9, 7, 1.

Step 1

Arrange the data in ascending order

1, 2, 3, 7, 9

Step 2

1, 2, 3, 7, 9

Median is 3

MEDIAN FOR GROUPED DATA

Example

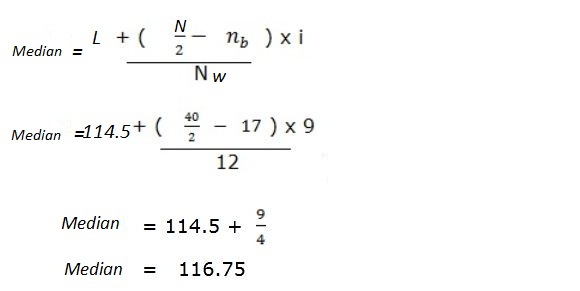
1. The following table shows the distribution of nails in [mm]. Calculate the median length.

 

Length [mm]fCumulative frequency
88-9633
97-10558
106-114917
115-1231229
124-132534
133-141438
142-150240
Total 40169

 

L=?

Median class=115-123

Median position= ===20.5

L= lower limit – 0.5

From 115-123

L=114.5

N = 40

nb=17

nw =12

i= 9

Exercise

1. The following is the distribution of marks obtained in a test given to 50 candidates

 

Marks frequencyCumulative frequency
11-2011
21-3034
31-401014
41-502135
51-60641
61-70546
71-80450
50

 

Find the median mark?

Solution

L=?

Median class= ?

Median position=

 

Median position = = = 25.5

Median position =25.5

Median class= 41-50

L = lower limit- 0.5

From 41-50

L= 41-0.5

L= 40.5

N=50

nb=14

nw=21

i = 10

From the formula:

The following figure represents the graph of frequency polygon of a certain data . To find the median distribution

Solution

a)

 

Class markfrequencyCumulative frequency
9233
101518
1191033
1281346
137753
Total53

 

L =?

M.p == =27

L =114.5

N= 53

nb=18

nw=15

i= 9

=114.5+ ()x 9

=114.5+[8.5/15]9

= 114.5+5.1

= 119.6

b)

Solution

Class markfrequencyCumulative frequency
1500
2055
251520
301232
351042
40042

 

L =?

M.P =N+1 = 42+1= 21.5

2 2

L = 25+30 = 55/2= 27.5
L =27.5

N=42

nb= 20

nw=12

i =5


Exercise

1. The height in centimeters of 100 people was recorded as shown below.

Height [cm]160165170175180185
frequency2123224218

 

Find the median height?

Solution

 

Height in [cm]frequencyCumulative frequency
16033
1651215
1703247
1752471
1802192
1858100
total100

 

L =?

Median position = =

= 50.5

L= ?
L= 170 + 175 = 345/2= 172.5

L= 172.5

N =100

nb=47

nw=24

i= 5


Figure 5.13 is a histogram representing test marks of 50 candidates find the median mark.

Solution

L =?

Median Point = =
= = 25.5

 

Class markfrequencyCumulative frequency
15.511
25.534
35.51014
45.52135
55.5641
65.5546
75.5450
Total 50

 

L = ?

L = 40.5

N =50

nb =14

nw=21

i=10

Figure 5.14 shows the frequency histogram for daily wages in TSHS of 70 people find the wages

Solution

 

 

 

 

Wages in [TSHS}frequencyCumulative frequency
5588
651018
751634
851549
951059
105564
Total 64

 

Median position
= =

= 32.5

L= 75+85 = 160/2
L= 80

N= 64

nb = 34

nw= 15

i=10

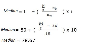
Figure 5.15 is a frequency Polygon for masses in kilogram’s of 80 students find the median mass.

 

Solution

 

Mass in kgfrequencyCumulative frequency
470
4700
521616
512036
621450
611262
72870
77676
82480
87080
Total 80

 

L =?

Median position = =

= = 40.5

L = 62+ 61 =123/2
L = 61.5

N =80

nb=36

nw=14

i = 5

Median = 61.5 + ( ) x 5 \

Median = 62.93.

 

 

MODE

Mode is the value of data which occurs most frequently [data with the highest frequency].

Data may have only one mode, more than one mode or no mode at all.

Example

Find the mode from the following data

i) 3, 5, 7, 3, 2, 10, 8, 2, 7, 2

Mode is =2

ii) 2, 1, 2, 5, 3, 1, 1, 4, 2, 7.

Mode is=1 and 2

MODE FOR GROUPED DATA

 

Figure 5.19 shows a histogram for heights of little children in centimeters calculate the mode of these heights

Solution

Height in cmfrequency
8210
8511
8814
9110
949
976
Total 60

 

Modal class =88

L = = 86.5

L= 86.5

t1= 14-11 = 3

t2= 14-10 = 4

i= 3

M = L +

M = 86.5 +

M = 87.79

The mode is 87.79

ALL NOTES FOR ALL SUBJECTS QUICK LINKS:

AGRICULTURE O LEVEL
PURE MATHEMATICS A LEVEL
BAM NOTES A LEVEL
BASIC MATH O LEVEL
BIOLOGY O/A LEVEL
BOOK KEEPING O LEVEL
CHEMISTRY O/A LEVEL
CIVICS O LEVEL
COMPUTER(ICT) O/A LEVEL
ECONOMICS A LEVEL
ENGLISH O/A LEVEL
COMMERCE O/A LEVEL
ACCOUNTING A LEVEL
GENERAL STUDIES NOTES
GEOGRAPGY O/A LEVEL
HISTORY O/A LEVEL
KISWAHILI O/A LEVEL
PHYSICS O/A LEVEL
MOCK EXAMINATION PAPERS
NECTA PAST PAPERS
Basic Mathematics Study Notes Form 3 Basic Mathematics Study Notes FORM 3MATHEMATICS

Post navigation

Previous post
Next post

Related Posts

Basic Mathematics Study Notes Mathematics Notes

Form 4 Mathematics – COORDINATE GEOMETRY

November 13, 2018August 17, 2024

COORDINATE GEOMETRY Exercise 1. Plot the following point. P (2,2), T (-1, -2), L (2, -1) 2. In which quadrants is the? a. Abscissa positive? I b. Ordinate negative III c. Abscissa negative II d. Ordinate positive I e. Abscissa negative and ordinate negative? III EQUATIONS IN A STRAIGHT LINE…

Read More
Basic Mathematics Study Notes Mathematics Notes

MATHEMATICS FORM 1 – RATIO, PROFIT AND LOSS

November 11, 2018August 17, 2024

RATIO, PROFIT AND LOSS Ratio:- the ratio of number p and q is p:q or p ÷ q or p/q Examples: 1. Joha and Siwenza shared 4,000 shillings between them. It Joha received 15,000 shillings and Siwenza got 25,000 shillings, Find the ratio of the amounts they received: Solution: Joha…

Read More
Basic Mathematics Study Notes Mathematics Notes

Form 4 Mathematics – PROBABILITY

November 13, 2018August 17, 2024

PROBABILITY Defn: Probability is a branch of mathematics which deals with and shows how to measure these uncertainties of events in every day life. It provides a quantitative occurrences and situations. In other words. It is a measure of chances. Probability set and Event Suppose that an experiment of tossing…

Read More

Leave a Reply Cancel reply

Your email address will not be published. Required fields are marked *

  • Agriculture Form 1
  • Agriculture Form 2
  • Agriculture Form 3
  • Agriculture Form 4
  • Agriculture Study Notes
  • Basic Applied Mathematics Study Notes
  • Basic Mathematics Study Notes
  • Biology Study Notes
  • Book Keeping Study Notes
  • Chemistry Study Notes
  • Civics Study Notes
  • Computer Study/ICT Study Notes
  • Economics Study Notes
  • English Language Study Notes
  • English Study Notes
  • Examination TimeTables
  • Form 1 Basic Mathematics Study Notes
  • Form 1 Biology Study Notes
  • Form 1 Book Keeping Study Notes
  • Form 1 Chemistry Study Notes
  • Form 1 Civics Study Notes
  • Form 1 Commerce Study Notes
  • Form 1 Computer Study/ICT Study Notes
  • Form 1 English Study Notes
  • Form 1 Geography Study Notes
  • Form 1 History Study Notes
  • Form 1 Physics Notes
  • Form 2 Basic Mathematics Study Notes
  • Form 2 Biology Study Notes
  • Form 2 Book Keeping Study Notes
  • Form 2 Chemistry Study Notes
  • Form 2 Civics Study Notes
  • Form 2 Commerce Study Notes
  • Form 2 Computer Study/ICT Study Notes
  • Form 2 English Study Notes
  • Form 2 Geography Study Notes
  • Form 2 History Study Notes
  • Form 2 Kiswahili Study Notes
  • Form 2 Physics Notes
  • Form 3 Basic Mathematics Study Notes
  • Form 3 Biology Study Notes
  • Form 3 Book Keeping Study Notes
  • Form 3 Chemistry Study Notes
  • Form 3 Civics Study Notes
  • Form 3 Commerce Study Notes
  • Form 3 Computer Study/ICT Study Notes
  • Form 3 English Study Notes
  • Form 3 Geography Study Notes
  • Form 3 History Study Notes
  • Form 3 Kiswahili Study Notes
  • Form 3 Physics Notes
  • Form 4 Basic Mathematics Study Notes
  • Form 4 Biology Study Notes
  • Form 4 Book Keeping Study Notes
  • Form 4 Chemistry Study Notes
  • Form 4 Civics Study Notes
  • Form 4 Commerce Study Notes
  • Form 4 Computer Study/ICT Study Notes
  • Form 4 English Study Notes
  • Form 4 Geography Study Notes
  • Form 4 History Study Notes
  • Form 4 Kiswahili Study Notes
  • Form 4 Physics Notes
  • Form 5 Accounting Study Notes
  • Form 5 Advanced Mathematics Study Notes
  • Form 5 Basic Applied Mathematics Study Notes
  • Form 5 Chemistry Study Notes
  • Form 5 Commerce Study Notes
  • Form 5 Economics Study Notes
  • Form 5 English Language Notes
  • Form 5 General Studies (GS) Study Notes
  • Form 5 Geography Study Notes
  • Form 5 History 1 Study Notes
  • Form 5 Physics Notes
  • Form 6 Accounting Study Notes
  • Form 6 Advanced Mathematics Study Notes
  • Form 6 Basic Applied Mathematics Study Notes
  • Form 6 Biology Study Notes
  • Form 6 Chemistry Study Notes
  • Form 6 Commerce Study Notes
  • Form 6 Economics Study Notes
  • Form 6 English Language Notes
  • Form 6 Geography Study Notes
  • Form 6 History 2 Study Notes
  • Form 6 Kiswahili Study Notes
  • Form 6 Physics Notes
  • Form four Mock Examination
  • Form Four Past Papers
  • Form Six Past Papers
  • Form Two Past Papers
  • General Studies (GS) Study Notes
  • Geography Study Notes
  • History Study Notes
  • Kiswahili Study Notes
  • link za magroup ya whatsapp
  • Mock Examination
  • Msomi Maktaba All Notes
  • NECTA Past Papers
  • Physics Study Notes
  • QT Past Papers
  • Standard Seven Past Papers
©2026 Msomi Maktaba | WordPress Theme by SuperbThemes